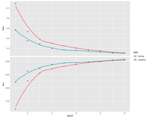
RでFashion MNISTの続き。前回の全結合モデルでは、正解率9割届かずという結果でした。今回は畳み込みニューラルネットを用いることで、それらの正解率が向上するか確認します。 keras.rstudio.com データ準備 前回同様、まずは畳み込みニューラルネットで読…
引用をストックしました
引用するにはまずログインしてください
引用をストックできませんでした。再度お試しください
限定公開記事のため引用できません。